Soal Isomorfik Materi Bab Impuls Pelajaran Fisika, beserta Jawaban dan Pembahasannya Lengkap. Bismillah, Selamat Pagi, Siang, Sore, dan Malam sobat Fisika dimanapun kalian berada ^.^ kembali lagi bersama Muheren.com, nah pada kesempatan kali ini kita akan belajar tentang Soal Isomorfik BAB IMPULS pada Mata Pelajaran Fisika. Sebelumnya, sudah pada tahu belum nih apa itu soal isomorfik ? Silahkan baca artikel berikut ini apabila kalian masih kurang paham apa sih itu soal isomorfik
Materi Impuls akan kalian pelajari pada jenjang kelas 10 SMA. Pemberian Tes Soal Isomorfik ini berguna sekali bagi para pengajar untuk menganalisis pemahaman konsep siswa. Pada artikel ini akan disajikan soal isomorfik materi bab impuls fisika, dengan dasar penyusunan soal berupa: miskonsepsi apa yang mendasarinya dan darimana itu didapat, serta contoh soal isomorfik level 1 dan level 2. Baiklah kita langsung saja ya !! Semangatt belajarnya
Dasar penyusunan soal
Miskonsepsi konsep
MATERI BAB IMPULS
Impuls (I) adalah gaya kontak rata-rata yang bekerja pada suatu benda yang terjadi dalam
kurun waktu yang singkat. Dimana dapat di tuliskan , Maka besar I akan berbanding lurus dengan besar
gaya nya, dan juga akan berbanding lurus dengan selang waktunya.
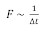
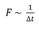
Apabila dilakukan pemindahan ruas, akan didapatkan bahwayang
artinya bahwa besar gaya akan berbanding terbalik dengan waktu kontak nya.
Semakin besar waktu nya maka semakin kecil pula gaya nya.
SOAL ISOMORFIK BAB IMPULS
Soal Level 1
Disini akan disajikan soal tentang konsep Impuls , para pengguna dapat mengerjakan soal-soal yang tersedia pada media ini. Jika pengguna dapat menjawab semua soal dengan benar maka pengguna dapat melanjutkan ke level yang berikutnya, namun jika ada satu soal yang salah maka pengguna pada akhir pengerjaan soal akan diberikan materi sebagai bentuk penguatan dan pengguna dapat mengulangi mengerjakan kembali sampai semua soal terjawab dengan benar. Dilengkapi dengan pembahasan setiap soal pada akhir pengerjaan.
1. Bocah sedang melakukan pertandingan sepak bola, saat itu terjadi pelanggaran pada area kotak pinalti dan Bocah akan melakukan tendangan pinalti ke arah gawang musuh. Dia akan menendang sekuat tenaga dengan sepenuh hati. Dia mempercepat waktu menyentuh bola.
Maka gaya kontak yang di lakukan Bocah semakin besar
A.
Benar
B. Salah
Jawaban: Benar
2. Santi dan Sinta melakukan pertandingan karate, Santi memukul Sinta tanpa ampun. Jika Sinta menginginkan kemenangan dengan beberapa kali pukulan, maka gaya kontaknya harus diperbesar.
Perbesaran gaya kontak, berarti melakukan pukulan dengan lambat.
A.
Benar
B. Salah
Jawaban: Salah
Pembahasan:
Ingat bahwasanya gaya implusif berbanding terbalik dengan selang waktu, maka jika menginginkan pukulan yang berefek sakit maka harus menambah gaya implusifnya. Untuk menambah gaya implusif maka waktu kontak harus diperkecil.
3. Andi memperbaiki sebuah meja dari kayu, dia memukul paku dengan palu. Agar paku cepat tertancap, gaya kontak yang mengenai paku haruslah besar.
Hal yang harus dilakukan adalah mempercepat waktu kontak palu dan paku.
A.
Benar
B. Salah
Jawaban: Benar
Pembahasan:
Bahwasanya
maka semakin besar gaya yang diberikan maka semakin besar pula efeknya, dan untuk menambah gaya maka waktu kontaknya haruslah dipersingkat.
Soal Level 2
Disini akan disajikan soal tentang konsep Impuls level 2 dimana soal akan berbentuk pilihan ganda (A,B,C,D,E) penggunan dapat memilih jawaban yang anda anggap benar. Jika pengguna dapat menjawab semua dengan benar maka anda akan berhasil memahami konsep impuls di level 2, namun jika tidak maka anda dapat mengulangi kembali
- Bocah melakukan tendangan pinalti ke arah gawang musuh, dia berniat menendangnya dengan sangat keras. Maka waktu dama menyentuh bola sangat cepat, apakah yang terjadi?
A.
Gaya kontak semakin kecil
B.
Gaya kontak semakin besar
C.
Jarak tendangan kecil
D.
Jarak tendangan besar
E.
Ukuran kaki membesar
Jawaban: B
Pembahasan:
Saat Bocah menendang akan terjadi gaya kontak,
agar gaya kontaknya besar maka dapat kita lakukan dengan memperkecil waktu
kontak. Ingat! bahwa besar gaya akan berbanding terbalik dengan waktu kontak nya.
Semakin besar waktu nya maka semakin kecil pula gaya nya.
2. Santi dan Sinta sedang melakukan pertandingan karate tingkat dunia. Santi memukul Sinta tanpa ampun, jika Sinta ingin memenangkan pertandingan dengan hanya beberapa pukulan, pukulan seperti apa yang harus dilakukan Sinta?
A.
Pukulan dengan jarak panjang
B.
Pukulan dengan waktu singkat
C.
Pukulan dengan jarak pendek
D.
Pukulan dengan waktu lama
E.
Pukulan dengan berteriak
Jawaban: B
Pembahasan:
Sinta ingin memenangkan pertandingan, maka yang
harus dilakukan pada pukulanya adalah memukul dengan sangat cepat. Karena
dengan memukul cepat maka gaya kontaknya akan besar.
3. Andi memperbaiki sebuah meja belajar dari kayu, dia memukul paku dengan palu. Maka agar paku cepat tertancap, gaya kontak yang mengenai paku haruslah besar. Maka yang perlu diperhatikan adalah ?
A.
Jarak palu jauh
B.
Jarak palu dekat
C.
Jenis palu bagus
D.
Waktu kontak lama
E.
Waktu kontak cepat
Jawaban: E
Pembahasan:
Yang harus diperhatikan saat memukul paku yaitu
gaya kontak nya harus besar. Maka agar gaya kontaknya besar maka waktu
kontaknya harus diperkecil karena besar gaya akan berbanding terbalik dengan waktu kontak nya.
Semakin besar waktu nya maka semakin kecil pula gaya nya.
Tags:
Contoh Soal Isomorfik Bab Impuls Fisika Kelas 10 SMA
Contoh Soal Isomorfik Level 1 dan Level 2 Materi Impuls beserta Jawaban dan Pembahasannya
Mengembangkan soal isomorfik BAB Impuls Mata Pelajaran Fisika
Mengembangkan soal isomorfik berbasis TIK Bab Impuls Fisika Kelas 10 SMA
Mengembangkan soal isomorfik level 1 dan level 2 Bab Impuls Materi Fisika beserta Jawaban dan Pembahasannya

Tidak ada komentar:
Posting Komentar